Multilinear Regression Analysis

This project looks at loans data from the U.S. SBA (Small Business Administration). The goal is to fit a multilinear regression model and analyse the parameters of the model. The project goes through an Exploratory data analysis for variable selection, analysis on Regression modelling, interpretation of the model and Anova tests.

 
Learn more

 Time Series Decomposition

This project uses data on beer sales to illustrate the decomposition of a Time series into its Trend, Seasonal and Random components using an additive model. We then use the model to predict the sales of beers in the upcoming years.

Learn more
 

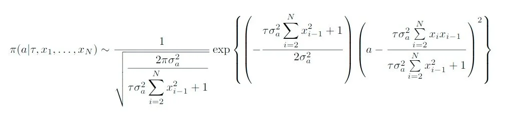
 Gibbs Sampling (MCMC) in Bayesian Analysis

Gibbs sampling is a Markov Chain Monte Carlo method used to sample from a multivariate distribution. In this project we apply Gibbs Sampling in a Bayesian Analysis setting, where the posterior distribution is usually difficult to sample from or is not known explicitly.

Learn more
 
 

 Machine Learning Methods
to Predict types of Back Pain

Back pain is an affliction that affects millions of people around the world. The goal of this project was to analyse data collected from subjects that suffer from back pain through different machine learning methods. We compare four different supervised learning methods: logistic regression, classification tree, random forest and bagging and evaluate their performance.

Learn more
 

 Logistic Regression to Identify Spam emails

Using Logistic Regression on a dataset containing information about emails to classify them as spam or nonspam.

Learn more
 
 
 

 Comparing Multinomial Logistic Regression and Random Forest to classify scenery

We compare the performance of two Machine Learning Methods: Multinomial Logistic Regression and Random Forest in the classification of scenery using data collected from images taken by a Satellite.

Learn more

 Principal Component Analysis and Regression

In this project we study an application of Principal Components Analysis (PCA) and Principal Components Regression (PCR). The main goal is to use PCR to predict levels of glucose based on near infrared spectroscopy (NIR) absorbance values for fermentation mashes of feedstock

Learn more